本站首页

通知公告

当前位置: 本站首页 >> 通知公告 >> 正文

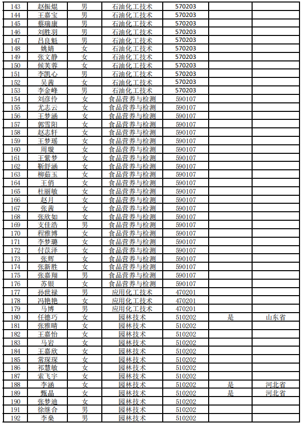
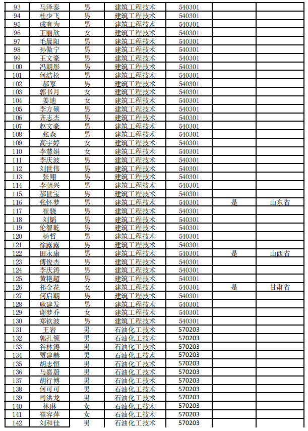
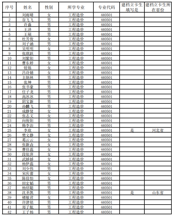
bw必威西汉姆联能建学院校荐生报名公示

发布日期:2023-02-27    作者:付志金     来源:     点击:
    公示时间:2023.2.27-2023.3.3,公示期内如有疑问请及时联系导员处理。